产品说明
应用
2D perovskites have been used as the active material in may applications such as light emmiting diodes, phototransistors, and solar cells. Unlike 3D perovskites, these layered materials give higher moisture stability and longer device lifetimes.
基本信息
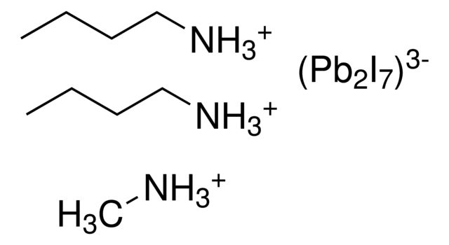
| 线性分子式 | (BuNH3)2(CH3NH3)Pb2I7 |
产品性质
| 质量水平 | 100 |
| 环保替代产品特性 | Design for Energy Efficiency Learn more about the Principles of Green Chemistry. |
| 环保替代产品分类 | Enabling |
安全信息
| 象形图 | ![]() ![]() ![]() |
| 警示用语: | Danger |
| 危险声明 | H302 + H332 - H360F - H373 - H410 |
| 预防措施声明 | P202 - P260 - P273 - P301 + P312 - P304 + P340 + P312 - P308 + P313 |
| 危险分类 | Acute Tox. 4 Inhalation - Acute Tox. 4 Oral - Aquatic Acute 1 - Aquatic Chronic 1 - Repr. 1A - STOT RE 2 |
| 储存分类代码 | 6.1C - Combustible, acute toxic Cat.3 / toxic compounds or compounds which causing chronic effects |
| WGK | WGK 3 |
| 闪点(F) | Not applicable |
| 闪点(C) | Not applicable |

Sigma-Aldrich
