产品说明
一般描述
MyBath™ mini water bath system tube rack accessories.
法律信息
MyBath is a trademark of Benchmark Scientific, Inc.
基本信息
产品性质
Sigma-Aldrich
MyTempTM extra shelf for mini incubators
N''-{(2E)-3-(5-NITRO-2-FURYL)-1-[(E)-2-(5-NITRO-2-FURYL)ETHENYL]-2-PROPENYLIDENE}CARBONOHYDRAZONIC DIAMIDE HYDROCHLORIDE
N'-{(E)-[2-(1,3-BENZOTHIAZOL-2-YLSULFANYL)-4-OXO-4H-PYRIDO[1,2-A]PYRIMIDIN-3-YL]METHYLIDENE}-3-NITROBENZOHYDRAZIDE
N'-{(E)-[4-(BENZYLOXY)-3-METHOXYPHENYL]METHYLIDENE}-2-{[5-(4-METHOXYPHENYL)-4-PHENYL-4H-1,2,4-TRIAZOL-3-YL]SULFANYL}ACETOHYDRAZIDE
N'-[(E)-(2-HYDROXY-1-NAPHTHYL)METHYLIDENE]-3-(4-METHOXYPHENYL)-1-PHENYL-1H-PYRAZOLE-5-CARBOHYDRAZIDE
N'-[(E)-(2,3-DIMETHOXYPHENYL)METHYLIDENE]-2-{[5-(4-METHOXYPHENYL)-4-PHENYL-4H-1,2,4-TRIAZOL-3-YL]SULFANYL}ACETOHYDRAZIDE
N'-[(E)-(2,5-DIMETHOXYPHENYL)METHYLIDENE]-2-(3,5-DIOXO-2,3,4,5-TETRAHYDRO-1,2,4-TRIAZIN-6-YL)ACETOHYDRAZIDE
N'-[(E)-(3-ETHOXY-4-HYDROXYPHENYL)METHYLIDENE]-2-[(1-ETHYL-1H-BENZIMIDAZOL-2-YL)SULFANYL]ACETOHYDRAZIDE
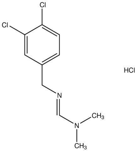
N'-[(E)-(3,4-dichlorophenyl)methyl]-N,N-dimethylimidoformamide hydrochloride
N'-[(E)-(3,5-DIBROMO-2-HYDROXYPHENYL)METHYLIDENE]-1,4,5,6-TETRAHYDROCYCLOPENTA[C]PYRAZOLE-3-CARBOHYDRAZIDE