产品性质
Sigma-Aldrich
Azobenzene-4,4′-dicarbonyl dichloride
β-Amyrin
β-香树脂醇
β-Sitosterol
β-谷甾醇
BAA485 (12-Ketodeoxycholic acid)
(3α,5β)-3-Hydroxy-12-oxocholan-24-oic acid
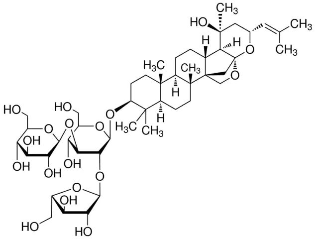
Bacoside A3
Jujubogenin 3-O-[α-L-arabinofuranosyl-(1→2)-O-[β-D-glucopyranosyl-(1→3)]-β-D-glucopyranoside]
Baicalin
黄芩苷
铝土矿, Bauxite
Bcl-xL Active human
Bel-Art® Earth Friendly Spoon
Benazepril Related Compound B