[登录] [免费注册]
试剂仪器网
位置:首页 > 品牌 > Sigma-Aldrich > (5Z,9 α,11 α,13E,15S)-6,9-环氧-11,15-二羟基前列腺素-5,13-迪恩-1-oic酸 钠盐

Prostaglandin I2 sodium salt

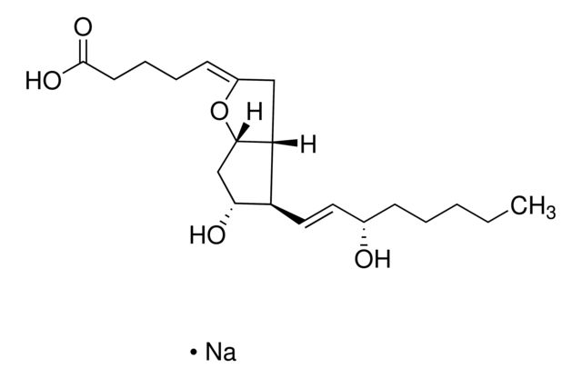
(5Z,9α,11α,13E,15S)-6,9-Epoxy-11,15-dihydroxyprosta-5,13-dien-1-oic acid sodium salt

品牌
Sigma-Aldrich
CAS
61849-14-7
货号
P6188
规格纯度
≥96% (HPLC), synthetic, powder
参考价格
4933.74 *本价格含增值税费
促销
服务
  • 原厂保证
  • 包邮
  • 增值税票
数量
-+
产品名称:
61849-14-7
Prostaglandin I2 sodium salt
(5Z,9α,11α,13E,15S)-6,9-Epoxy-11,15-dihydroxyprosta-5,13-dien-1-oic acid sodium salt
Epoprostenol sodium salt
Prostacyclin sodium salt
PGI2-Na
前列腺素 I2 钠盐
(5Z,9 α,11 α,13E,15S)-6,9-环氧-11,15-二羟基前列腺素-5,13-迪恩-1-oic酸 钠盐
PGI2-钠
前列环素 钠盐
依前列醇 钠盐
产品介绍:

产品说明

应用

前列腺素I2钠盐已用于以下情形:

  • 制备储备溶液,用于血小板洗涤程序
  • 在富血小板血浆中用作补充剂,用于血小板制剂
  • 防止血小板激活

包装

1, 5, 10 mg in glass bottle

生化/生理作用

前列环素是血管内皮细胞中环氧合酶途径的一种短期产物。通过拮抗血栓烷A2和刺激血小板腺苷酸环化酶,用作血小板聚集的有效抑制剂。一氧化氮也在血管内皮中产生,抑制血小板聚集,调节诱导型环氧合酶的产生,并可与前列环素协同作用以减弱血栓形成过程。前列环素具有血管保护作用,保护动脉壁免受损伤引起的损伤,并保护肝脏和胃肠道的细胞。
前列环素治疗改善肺动脉高压的血流动力学。

基本信息

经验(实验)分子式C20H31NaO5
分子量374.45
Beilstein6472195
EC 号263-273-7
eCl@ss42020658
PubChem化学物质编号24898653
NACRESNA.77

产品性质

质量水平200
生物来源synthetic
测定≥96% (HPLC)
形式powder
颜色 white to off-white
溶解性H2O: 1 mg/mL (Hydrolyzes to 6-ketoprostaglandin F in aqueous solution.)
ethanol: 50 mg/mL
官能团carboxylic acid
hydroxyl
运输ambient
储存温度−20℃
SMILES stringCCCCC[C@H](O)/C=C/[C@H]1[C@H](O)C[C@@](O/2)([H])[C@]1([H])CC2=C\CCCC(O)=O.[Na]
InChI1S/C20H32O5.Na/c1-2-3-4-8-15(21)10-11-16-17(22)12-18-20(16)14(13-25-18)7-5-6-9-19(23)24;/h7,10-11,15-18,20-22H,2-6,8-9,12-13H2,1H3,(H,23,24);/q;+1/p-1/b11-10+,14-7-;/t15-,16-,17+,18-,20+;/m0./s1
InChI keyOURCVRVJQMLUNA-QFDVFERUSA-M

安全信息

储存分类代码13 - Non Combustible Solids
WGKWGK 3
闪点(F)Not applicable
闪点(C)Not applicable
个人防护装备dust mask type N95 (US), Eyeshields, Gloves

Sigma-Aldrich

推荐产品