产品说明
一般描述
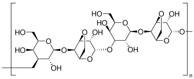
琼脂糖是一种从琼脂或含琼脂的海藻中提取的聚合物。这种纯化线性半乳糖水胶体包括由 α-(1→3) 和β-(1→4)糖苷键连接的交替共聚物D-半乳糖和3,6-内醚-L-半乳糖单元。琼脂糖具有高度的生物相容性,并具有不同的力学和扩散特性。琼脂糖可用作凝胶剂,用于电泳分离核酸。
应用
琼脂糖用于制备裂解和电泳用微凝胶载玻片。也用于凝胶电泳中以分离儿茶酚-o-甲基转移酶(COMT)基因分型中限制性内切酶消化产物
适合分离小DNA片段(例如PCR产物),大小相差仅为2%,与聚丙烯酰胺凝胶中的DNA分辨率相比较。高分辨率琼脂糖也适用于解析扩增片段长度多态性(AmpFLP)、短串联重复序列(STR)和三核苷酸和四核苷酸重复序列。
低溴化乙锭和SYBR绿底染色
包装
25, 100 g in poly bottle
分析说明
以下是与我们的琼脂糖相关的属性列表:
硫酸盐含量 - 用作一种纯度的指标,因为硫酸盐是存在的主要离子基团。
凝胶强度 - 施加在凝胶上让其破裂所必需的力。
凝胶点 - 琼脂糖水溶液在冷却时形成凝胶的温度。 琼脂糖溶液在液体-凝胶转变的过程中会表现出滞后现象 - 也就是说,它们的凝胶点与它们的熔点温度不同。
电内渗(EEO)- 液体通过凝胶的一种运动。琼脂糖凝胶中的阴离子基团被固定在基质上不能移动,但可解离的抗衡阳离子可以向基质中的阴极迁移,从而产生EEO。 由于生物聚合物的电泳运动通常是朝向阳极的,因此EEO会因为内部的对流而破坏分离。
基本信息
| EC 号 | 232-731-8 |
| MDL编号 | MFCD00081294 |
| PubChem化学物质编号 | 24890904 |
| NACRES | NA.25 |
产品性质
| 质量水平 | 200 |
| 生物来源 | algae (marine) |
| 等级 | for molecular biology |
| 形式 | powder |
| technique(s) | electrophoresis: suitable |
| EEO | ≤0.05 |
| mp | ≤75 ℃ (3% gel) |
| 转变温度 | gel point ≤35 ℃ (3% gel) |
| 异质活性 | DNase, RNase, NICKase, none detected |
| 储存温度 | room temp |
| InChI | 1S/C24H38O19/c25-1-5-9(27)11(29)12(30)22(38-5)41-17-8-4-36-20(17)15(33)24(40-8)43-18-10(28)6(2-26)39-23(14(18)32)42-16-7-3-35-19(16)13(31)21(34)37-7/h5-34H,1-4H2/t5-,6-,7+,8+,9+,10+,11+,12-,13+,14-,15+,16-,17-,18+,19+,20+,21-,22+,23+,24+/m1/s1 |
| InChI key | MJQHZNBUODTQTK-WKGBVCLCSA-N |
安全信息
| 储存分类代码 | 11 - Combustible Solids |
| WGK | WGK 3 |
| 闪点(F) | Not applicable |
| 闪点(C) | Not applicable |
| 个人防护装备 | Eyeshields, Gloves, type N95 (US) |

Sigma-Aldrich
