产品说明
法律信息
null
产品性质
Sigma-Aldrich
Greiner VIEWsealTM sealer
GST M4-4, Recombinant Human
Guanabenz Acetate
胍那苄 乙酸盐
Heptane-4-sulfonic acid
高速光亮铜电镀液, High speed bright copper electroplating solution
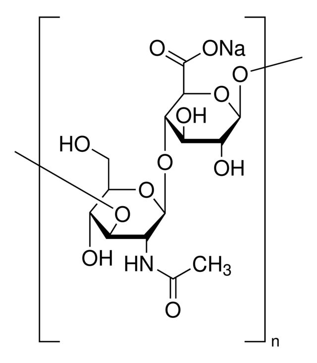
Hyaluronic acid sodium salt from Streptococcus equi
透明质酸 钠盐 来源于马链球菌
Hyaluronic Acid, Sodium Salt, Streptococcus pyrogenes-CAS 9067-32-7-Calbiochem
ICMA
1′,4′-Dihydro-naphtho[2′,3′:1,2][5,6]fullerene-C60
Imprint® Ultra Chromatin Optimization Kit
InSolution IKK-2 Inhibitor IV-Calbiochem